Shanti & Maria Elisa
martedì 30 aprile 2013
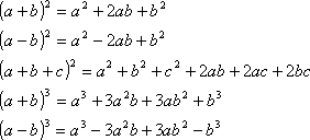
Materie:Aritmetica.
Abbiamo appena finito il capitolo dei polinomi e la nostra insegnante ci ha spiegato come si fanno le espressioni e le addizioni algebriche.
Ma sopratutto ci siamo soffermati sui prodotti notevoli.
Nessun commento:
Posta un commento
Post più recente
Post più vecchio
Home page
Iscriviti a:
Commenti sul post (Atom)
Nessun commento:
Posta un commento